Gattás afirma solventar auditoría; la ASE lo desmiente El alcalde de Victoria asegura haber aclarado las observaciones por más de mil millones de pesos, pero la Auditoría Superior del Estado mantiene bajo reserva las cuentas públicas 2022 y 2023 al no estar solventadas.
A cuatro años de gestión, el alcalde de Victoria, Eduardo Gattás Báez, arrastra un posible quebranto millonario; la Auditoría Superior del Estado (ASE) mantiene bajo la lupa casi mil millones de pesos cuyo destino no ha sido aclarado, pese a las reiteradas promesas del edil de haber solventado las observaciones.
En el marco de la toma de protesta al nuevo Poder Judicial de Tamaulipas, se le cuestionó al edil capitalino acerca de la información que omitió rendir en su primer año de gestión del segundo trienio, al no informar a los ciudadanos el gasto de 977 millones 443 mil 636 pesos correspondientes a las cuentas públicas 2022 y 2023.
Ante ello, Gattás declaró: “ya los solventamos, quedaron debidamente solventados en la ASE”. Sin embargo, el auditor superior de Tamaulipas, Francisco Noriega Orozco, contradijo al alcalde al precisar que dichas cuentas continúan sin ser palomeadas como solventadas.
El auditor explicó que, una vez que un sujeto obligado justifica las observaciones y estas quedan totalmente aclaradas, se hacen públicas. Mientras tanto, si persisten inconsistencias, se generan Procedimientos de Responsabilidad Administrativa o denuncias, y la información se mantiene reservada para no entorpecer las investigaciones.
En este caso, la presunta “solventación” que afirmó el alcalde no ha sido publicada en el portal oficial, simplemente porque el gobierno de Victoria no ha aclarado las cuentas públicas señaladas. Cabe destacar que las correspondientes a 2024 aún no están disponibles para su análisis.
Del primer año de administración (Ejercicio 2022), la ASE observó más de 65 millones de pesos: a la Comisión Municipal de Agua Potable y Alcantarillado de Victoria (Comapa) 20 millones 478 mil 117 pesos, y al Ayuntamiento 45 millones 235 mil 293 pesos.
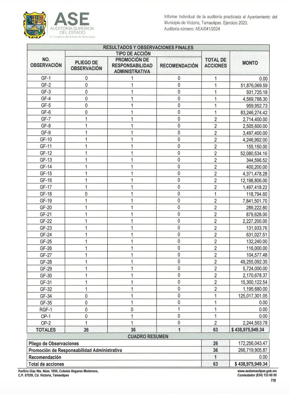
Para el ejercicio 2023, el posible quebranto se disparó hasta 15 veces más: en la Comapa fueron cuestionados 472 millones 754 mil 275 pesos, y en el gobierno municipal 438 millones 975 mil 949 pesos.
A ello se suma que la Auditoría Superior de la Federación (ASF) también señaló la gestión de Gattás, al no poder demostrar el gasto de casi 50 millones de pesos de la cuenta pública 2023.





